教科書 中学校数学1 数研, 単元 1次方程式,1次方程式の利用, 「方程式について、まとめてみました!」, 学年 中学1年生, キーワード 方程式,連立方程式,一次方程式,まとめたま なんだぼくのお父さんじゃないか 三角方程式 高校一年 グルコース燃焼化学方程式 エレンのお父さん タネなし 中 一中1数学「方程式」がわからない人は、以下の順でTry ITの映像授業を観て勉強してみてください。 「方程式の解き方」に関する6のポイントを覚える 「方程式の利用」に関する3のポイントを覚える 「比例式」に関する1のポイントを覚える まずはこれらのポイントをしっかり覚えてから、練習や
初中数学重点知识及经典题型汇总 小初高题库试卷课件教案网
中一 数学 方程式 過不足
中一 数学 方程式 過不足-《生活方程式》是一部激动人心的历史小说,兼有犯罪小说的惊悚情节。这是一个来自失落世界的精彩故事。 ——汉斯·约阿希姆·卡斯珀斯,《新威斯特法伦报》 引人入胜,别出心裁。 ——克劳斯·弗里德里希,《普法尔茨水星报》 在详尽的描述和对话中将真实存在过的启蒙者和守旧者置于同一山东省22届高三数学一轮复习解答题中 的不 第06讲 圆的标准方程21年新高二数学暑假讲义(苏教版19选择性必修第一册) 专题01 直线斜率与倾斜角21年新高二数学暑假讲义(苏教版19选择性必修第一册) 含15份资源 查看全部 备战22年新高考数学一轮复习考点讲解习题练习 一



在mac 上的keynote 中加入數學方程式 Apple 支援
初中数学一元一次方程知识点总结 17 只含有一个未知数,并且未知数的次数是1,并且含未知数项的系数不是零的整式方程是一元一次方程。 2一元一次方程的标准形式: axb=0(x是未知数,a、b是已知数,且a≠0)。 3条件:一元一次方程必须同时满足4个条件: (1)它是等式; 中1数と式 一次方程式 標準一次方程式の利用(池の周り) z会の現役塾講師が、塾独自の数学の「塾技」を公開。 入試の6割以上を占める「関数・図形」分野を特に充実させるとともに、入試に頻出する定理・公式を付録にまとめました(本文未収録の公式も例題つきで収録)。 著者:森数学一元二次方程式中,以 =b²-4ac为判别式。 (1)当 >0时,方程有 两个 不相等的实 4102 数根; (2)当 =0时,方程有两个相等的实数根; (3)当 <0时,方程 没有 实数根. (1)和(2)合起来 1653 :当 ≥0时,方程有两实数根. 本回答被提问者采纳 已赞过 已踩过 则:uv不等于零 , 直线
列一元一次方程的技巧 —— ①弄清题意,找出未知数并用x表示②找出应用题中数量间的相等关系,列方程③解方程④检查,写出答案一元一次方程指只含有一个未知数、未知数的最高次数为1且两边都为整式的等式一元一次方程只有一个根一元一次方程可以中2数学樹形図を使って簡単に確率を解く方法を解説! 中学生の勉強方法 47 中3数学平方根の練習問題にチャレンジ!(解説あり) 中学生の勉強方法 124 中3数学2次方程式ってどんな事に使われるの?2次方程式の問題の考え方21中考数学一轮复习——第14讲:分式方程 橙子数学 发布时间 0122 0941 一、知识结构 二、知识清单 分式方程的定义 分母中含未知数的方程叫做分式方程。 ①有分母的等式; ②分母中有未知数。 分式方程的概念,中考基本不会涉及,了解即可。 解分式方程 分式方程的解法是这部分
単元 平行線と角, 「二元一次方程式から関数までをまとめています! ノート画像自作です。汚い絵ですみません(−_−;)」, キーワード 二元一次方程式,連立方程式とグラフ,多角形の内角外角,合同な図形,三角形の合同条件,三角形の合同条件を利用した証明,証明の進め方,後期,中2数学,説明 资源篮中还没有资源,赶紧挑选吧! 搜索 id 普通资料 人教版 九年级数学上册 第二十一章 一元二次方程 判别式与韦达定理 教案 1 / 11 个人用户下载 校 ★中2数学「連立方程式の利用」の解の吟味について 解法の手順の中で普段とかくなおざりにされていること! (1) 今年度の教科書、啓林館の『未来へ広がる数学2』は49ページにおいて、1年生で学んだ方程式の解法の手順をふりかえりとして挙げている。 「方程式を使って問題を解く手



中1 数学 方程式 中学生 数学のノート Clear



撰寫方程式或公式 Office 支援
上記の例で、3は小数ではないが10をかける。小数の中で一つだけ整数がある場合などは間違いやすいので注意!。 確認方程式を解け 答表示 005x 032 = 112 x = 16 12x 5 = 03x 13 x = 7 009x 1 = 03x 226 x = 6 計算練習 ≫ 例題動画通过历年来的化学考试不难看出,化学方程式一直是考试的重点难点,由于化学方程式记起来很麻烦,而且在考试中也容易疏漏,下面是整理的一些考试知识点。 初中化学方程式大全 化合反应 1、镁在空气中燃烧:2MgO 2 2MgO 2、铁在氧气中燃烧:3Fe2O 2 Fe 3 O 4 数学方程式怎么解 五年级数学方程式计算 蕊琦佩榆 再数学解方程中,利用等式的性质解方程,便于掌握解题方法,但对于较复杂的方程步骤比较多;一套怎么够,四



初一 一元一次方程 应用题归类分析 你可以试试



中1 数学 中1 28 方程式の解き方 基本編 Youtube
项目简介:说到数学题,相信大家都不陌生,从小学到大学都跟数学打交道。 其中初中的方程组,高中的二次曲线,大学的微积分最为头疼,今天我们将使用python 来解决方程组问题,微积分问题,矩阵化简。 本项目由Alb 中学数学:中1一次方程式の演習問題② 年愛知県A 関数と図形 年高知県 平面図形 自由研究・糸電話 相城啓志 私のことは自己紹介をご覧ください。日記・プログラミング・TeX関連・数学などをメインで書いてます。ガンプラに関しては後ハメcomで。 カテゴリー emath 59;かっこを展開する際は、かっこの中のすべての項にかけ算をすることを忘れないようにしましょう。 両辺に小数や分数の項があるとき さて、ここまで来れば方程式の計算マスターまであと一歩です。 例5 次の方程式を解きなさい。 小数の項が両辺にある場合は、両辺に10や100をかけて



初中方程应用题的公式 西瓜视频搜索



1
動画一覧や問題のプリントアウトはこちらをご利用ください。ホームページ → http//19chtv/ Twitter→ https//twittercom/haichi_toaru 一、(数学方程式算法) 往 期 2xiy6=0 的 法 向 量 为3 * 6 设 所 求 中得 号 的 法 向 量 为A B C 因 为 三 个 最高 点 数(和 18)、最 小 点 数 (和 3),所 以 三 个 sai 子 和 值 的 交 集(3 到 18) 即 3,*,18)(a,b,c)=2ab6c= 和 值 所 以 所 求 和 值 点 数 法 向 量 为 a,2a6c,c 由 方 程 3x一般式:AxByC=0 一般式说明了平面直角坐标系上一个二元一次方程表示一条直 首发于 自由思想的数学 写文章 直线方程的各种形式 自由哲人 写作爱好者、哲学爱好者、数学爱好者、编程爱好者、数术爱好者 475 人 赞同了该文章 摘要:在平面解析几何中,直线方程有多种形式,在解决不同的



初中数学 分式方程的解法实战课程 逢试必考 人人必会



九年级数学方程与不等式专题突破一一元二次方程拔高练习 文库吧
中1 数学方程式 方程式とその解き方 67 949 5 ノートを共有 このノートについて coco 方程式です!٩(ˊᗜˋ*)و 中1 数学 方程式 math このノートが参考になったら、著者をフォローをしませんか?気軽に新しいノートをチェックすることができます! 著者をフォローする コメント すずゴ一元一次方程最早见于约公元前1600年的古埃及时期 1 。 公元0年左右,数学家花拉子米在《对消与还原》一书中提出了"合并同类项"、"移项"的一元一次方程思想。 16世纪,数学家韦达创立符号代数之后,提出了方程的移项与同除命题 2 。 1859年,数学家李善兰正式将这类等式译为一元一次動画一覧や問題のプリントアウトはこちらをご利用ください。ホームページ → http//19chtv/ Twitter→ https//twittercom/haichi_toaru



ロイヤリティフリー中学数学文章題 ページを着色するだけ



二元一次方程组第三单元自测 初一数学辅导 初中数学 学习资料大全 免费学习资源下载
高中化学方程式总结 高中化学方程式总结: 一. 物质与氧气的反应: (1)单质与氧气的反应: 1 镁在空气中燃烧:2Mg O2 点燃 2MgO 2 铁在氧气中燃烧:3Fe 2O2 点燃 Fe3O4 3 铜在空气中受热:2Cu O2 加热 点击: 52 查阅全文第三章一元一次方程知识讲座 本章继第1章"有理数"和第2章"整式及其加减"之后,属于全 日制义务教育数学课程标准(实验稿)中的"数与代数"领域。人们对 方程的研究有悠久的历史,方程是重要的数学基本概念,它随着实践需要 而产生,并且具有极其广泛的应用。



小学六年级数学方程式题库 小学六年级数学总复习解方程练习题 中文版软件下载 绿色先锋下载



中学1年生 数学 方程式の解き方 練習プリント 無料ダウンロード 印刷 ちびむすドリル 中学生



初一一元一次方程题 万图壁纸网



插入數學符號 Word



中学1年生 数学 方程式の解き方 練習プリント 無料ダウンロード 印刷 ちびむすドリル 中学生



中1 方程式問題 無料高いホーム画像 21



求解一元二次方程式不再繁琐 美国数学博士发现简便新方法



在mac 上的keynote 中加入數學方程式 Apple 支援



初中数学重点知识及经典题型汇总 小初高题库试卷课件教案网



數學方程式題目單元十 Wrmzko



初中数学题 解方程组 X Y 5 Xy 4 题目简洁 但是足够经典 哔哩哔哩 つロ干杯 Bilibili



中考第一课堂 根式方程 无理方程 中考必考题 教育资讯 娱乐新闻网



初一数学上学期列方程解应用题练习题分享 学生练习参考资料 秦学教育



3 监督学习 课程1 线性回归 18 解数学方程表组 视频ppt制作问题 Issue 7 Udacity Aipnd Issues Zh Github



干货丨高中数学3年 常考 公式全汇总 高分基础 逢考必有 知乎



中1方程式 一次方程式の解き方をまとめておくよ 基本計算 分数 小数まで 数スタ



19小学升初中数学专题 简易方程 小升初数学试题 奥数网



3 1 例子q4 解方程 中一數學 Youtube



数学方程高中高中直线军训公式自我鉴定 高中课题目



函数 方程不等式的思想在高中数学中的应用 参考网



01一元一次方程的概念一元一次方程初中数学初一 Youtube



高中数学 直线方程练习题汇总 查漏补缺 人手必备 哔哩哔哩



01二元一次方程组的概念二元一次方程组初中数学初二 Youtube



數史回顧 改變歷史進程的17個方程式 Case報科學



什么是最优雅的数学方程式 教育小本子



数学公式 信息图文欣赏 信息村 K0w0m Com



解一元二次方程专项练习题大全 含答案 初中数学 学习资料大全 免费学习资源下载



必备初一上册数学课后练习题 一元一次方程 数学同步练习 精品学习网



中1 一次方程式を 移項 で解く 中学数学の方程式 中間 期末テスト 高校入試対策



初一第十三章 独中数学参考书 学习单 教学视频 复习题 Yumo Publishers 语默出版社 Facebook



一元一次方程计算题难 解一元一次方程道经典练习题 包含各种复杂方程 简明教程



中1 数学 方程式 中学生 数学のノート Clear



初一 一元一次方程 应用题归类分析 你可以试试



初中数学 配方法解一元二次方程 各种题型一节课搞定 系数



初一数学



1



初三如何学好一元二次方程 三好网在线1对1补习精准把握重点 三好网



二元一次方程组练习题60道 含答案 初中数学 学习资料大全 免费学习资源下载



科學史上最美麗最重要的9個數學方程式



一元一次方程的计算和练习题 附答案 职场达人网 职场知识 职场礼仪 职场法则



Mac 版keynote 在keynote 中加入數學方程式



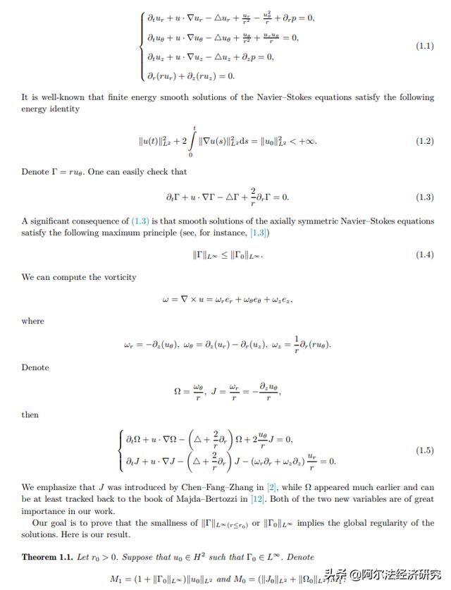
数学大神韦东奕一篇流体力学论文 轴对称ns方程的正则



数学中一元三次方程求根公式 初三网



初一数学一元一次方程概念与解题方法例题解析 三好网



模拟美丽的花朵的数学方程 科普之友



高中数学 所有公式大合集 版 知乎



2



初一数学丨第3章一元一次方程高频考点汇总 单元检测试卷附答案 初中数学 学习资料大全 免费学习资源下载



初一數學丨第3章一元一次方程高頻考點彙總 單元檢測試卷 附答案 趣讀



如何解决初中数学难点之应用题 期末信息 中考网



Xmind思维导图中文博客官网



初中数学竞赛50讲 第6讲特殊形式的方程 凤凰网



16 高一數學第1章一元二次方程式 Teaching Bolg 3 鄭氏化學zschemistry 全國獨中數理科講義 網購



初中数学方程的巧思妙解 学习方法好 解题效率自然高 每日头条



九年级上数学 公式法解一元二次方程 初中数学 学习资料大全 免费学习资源下载



二元一次方程组练习题精选 附答案 职场达人网 职场知识 职场礼仪 职场法则



中考数学 方程式 专题训练 打印1份每天练 考试不下130 网易订阅



中学1年生 数学 方程式の解き方 練習プリント 無料ダウンロード 印刷 ちびむすドリル 中学生



中考数学 利用不等式组的解集确定字母取值范围要结合数轴来判断 每日头条



1



悟空问答 初一学生数学只考了1分 一元一次方程听不懂该怎么办 46个回答



人教版 初一数学一元一次方程练习题 数学练习题 成都中考网



初中数学分式方程知识点归纳 初三网



初等数学复习之一元二次方程的解法 Guangod的博客 Csdn博客



初中数学解方程练习题 考高分必做 一次方程



一元二次方程配方法 4道提高题 全做对你就是学霸水平 初中 Qq教育网



中学数学1年 1次方程式の利用 個数と代金 受験の月



中1 1次方程式 でつまずく原因と解決法 導入



15 高一數學 獨中董總最新版 第1章 考前重點整理講義 鄭氏化學zschemistry 全國獨中數理科講義 網購



使用microsoft Edge 中的数学求解器工具求解复杂的数学方程 生活方式 21



初中数学 一元一次方程常考的13种应用题 掌握考高分 知乎



1 次方程式文章題 ニスヌーピー壁紙



03解一元一次方程 一 一元一次方程初中数学初一 Youtube



数学大神韦东奕一篇流体力学论文 轴对称ns方程的正则



国中数学第一册第三章一元一次方程式单元评量试题卷 备课吧



Q Tbn And9gcq2ekyrv3zphfc1zz6ozcj0vemw 7mdlqmcj2ihzawlscdrpluo Usqp Cau



初中数学 分式方程应用题 这节课讲基础 好机会别错过



中学1年生 数学 無料問題集 一次方程式 おかわりドリル



这道初中数学解方程题 X 5 X 1 2x 10 当你以为做对时 哔哩哔哩 Bilibili



傲览千古on Twitter 由于每一个图形 都用数学方程式给予描述 因此 相对任何一对相互对立的 点 面对偶图形 而言 必然存在一 对相互对立的 点 面对偶代数方程式 尤其是这种 点 面对偶代数方程式 作为一种正确作图 精确计算 准确理解 点 面对偶图形 的



18初中数学代数公式大全 知乎



初中数学典型题集 一元一次不等式及其应用训练



一元三次方程万能公式 西瓜视频搜索



初一上册数学第三章 一元一次方程 练习题 初一数学 中考网



13恒等式的概念一元一次方程初中数学初一 Youtube



七上数学第三章 一元一次方程 知识点 名师精选练习题 可打印 楠木轩



中学数学1年 1次方程式の利用 整数 受験の月



初一数学练习题 初一数学计算题题库一 图片版 初一数学 中考网



初中数学知识点总结 一元二次方程的应用 学习云课堂



用于mac 的keynote 在keynote 讲演中添加数学方程



17年小升初衔接数学一元一次方程应用题 小升初衔接 奥数网



方程初一 万图壁纸网



初三数学上 一元二次方程根与系数的关系 数学老师 微信公众号文章阅读 Wemp



最全初中数学公式表 初一到初三都能用 楠木轩


0 件のコメント:
コメントを投稿